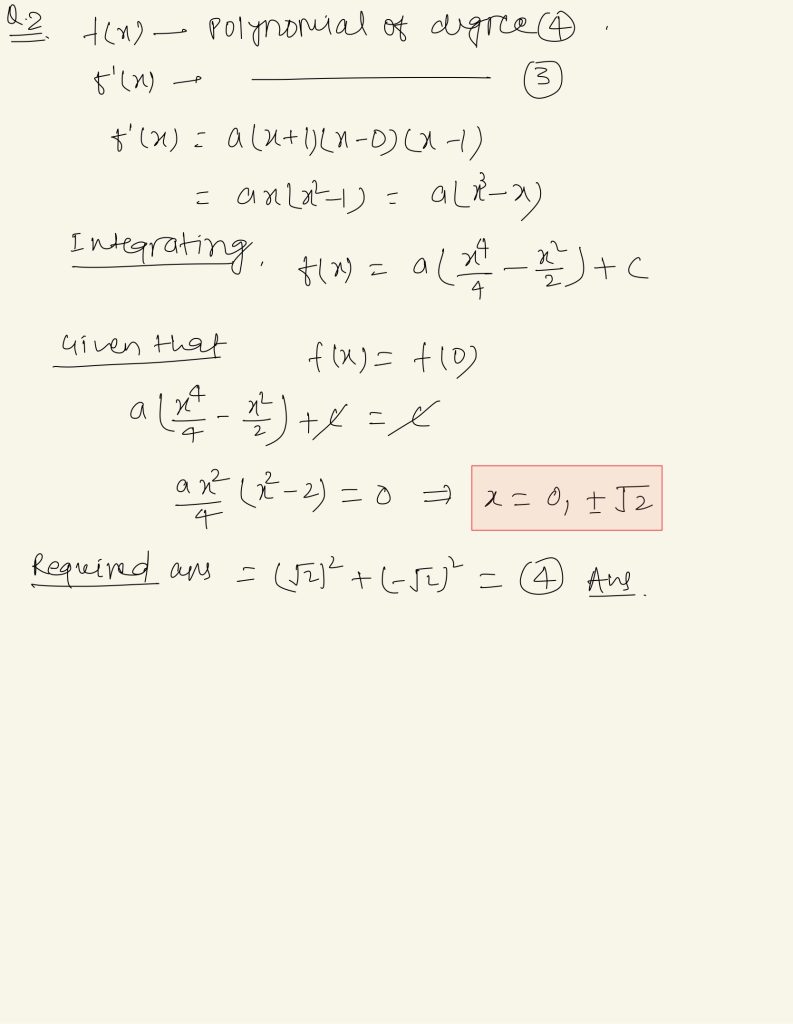
Suppose f(x) is a polynomial of degree four, having critical points at -1, 0,1 If T={x€R/f(x)=f(0), then the sum of squares of all elements of T is :

Spread the love

Options :-

  • 1. 8
  • 2. 6
  • 3. 2
  • 4. 4

Correct Answer : 4. (4)

Leave a Reply

Your email address will not be published. Required fields are marked *