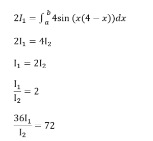
If (a,b) be the orthocentre of the triangle whose vertices are (1,2),(2,3) and (3,1), and [latexpage]\[ I_1= f_a^b xsin⁡(4x-x^2 )dx, ( ) I_2=f_a^b sin⁡(4x-x^2 )dx, then 36 I_1/I_2\]is equal to :

Spread the love

(1) 72
(2) 88
(3) 80
(4) 66

Ans. (1)
Sol. Equation of CE

 

 

orthocentre lies on the line

so,

Using king rule

(i) + (ii)


Q. If A denotes the sum of all the coefficients in the expansion of (1-3x+10x^2 )^n and B denotes the sum of all the coefficients in the expansion of (1+x^2 )^n, then : (1) A=B^3 (2) 3A=B (3) B=A^3 (4) A=3B

Q. The number of common terms in the progressions 4,9,14,19,……. , up to 25th term and 3,6,9,12, up to 37th term is : (1) 9 (2) 5 (3) 7 (4) 8

If the shortest distance of the parabola y^2=4x from the centre of the circle x^2+y^2-4x-16y+64=0 is d, then d^2 is equal to : (1) 16 (2) 24 (3) 20 (4) 36


 

2 thoughts on “If (a,b) be the orthocentre of the triangle whose vertices are (1,2),(2,3) and (3,1), and [latexpage]\[ I_1= f_a^b xsin⁡(4x-x^2 )dx, ( ) I_2=f_a^b sin⁡(4x-x^2 )dx, then 36 I_1/I_2\]is equal to :”

  1. AV says:

    Thank you sir for such a nice explanation

Leave a Reply

Your email address will not be published. Required fields are marked *